
Welcome to a new feature here on Suits. We have teamed up with Alan and his shop "UPTOWN RECORDS" to share some out of this world glam collectables. A long time collector and now the owner of the U.K's largest independent record shop we and Alan will continue to dig up sparkling glam treasures for you all to enjoy. Here's the first one.......



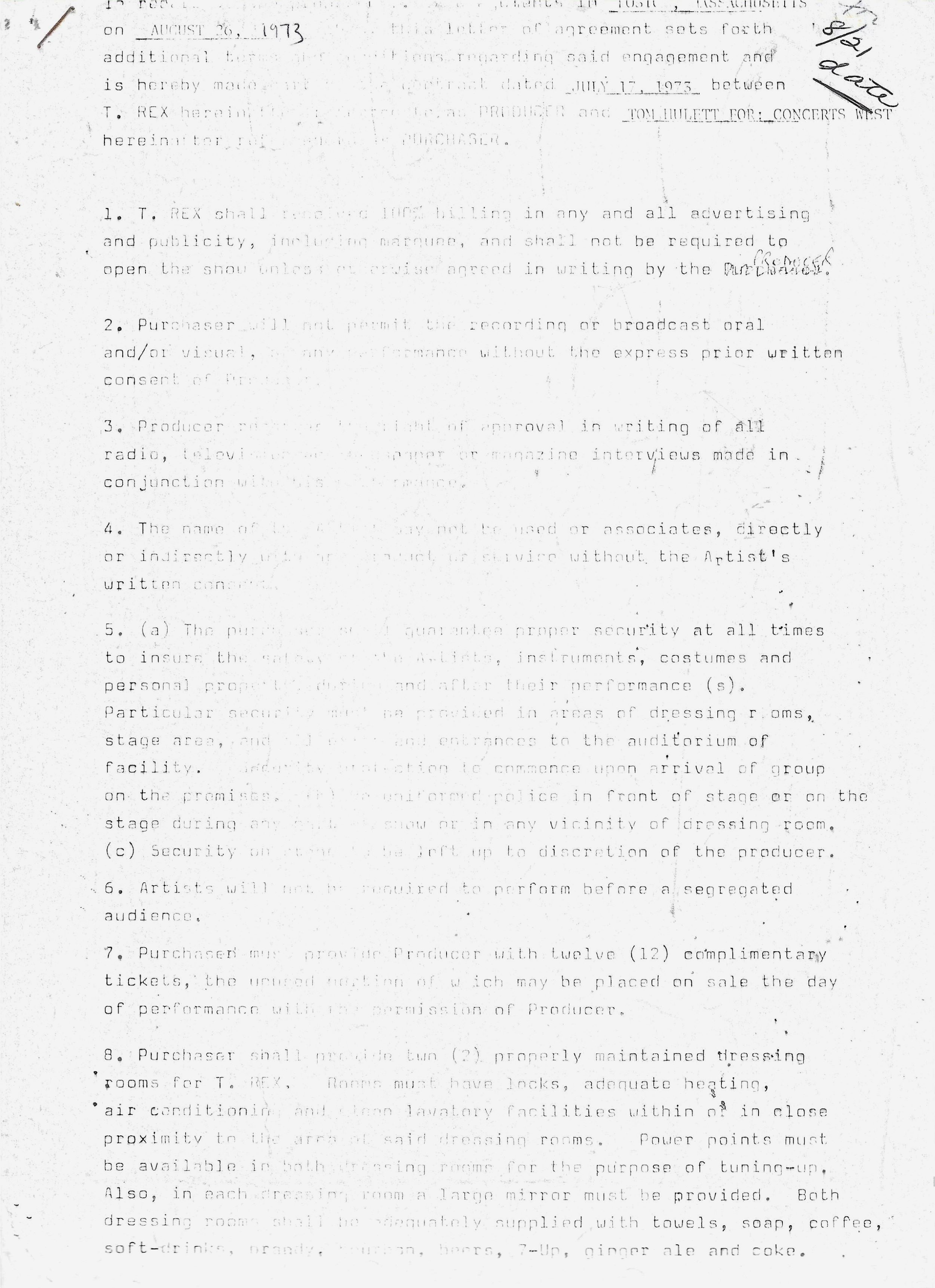
Faded by time we have made it as large as possible for you to read and enjoy. Alan seems to remember buying this at an auction years ago along with the sheet music for "Ride A White Swan". A moment in time from one of Marc's not so successful tours which, makes it all the more interesting.
We hope you enjoyed this first one and stay tuned for the next treasure to pop up!
Waiting for your next hit? Go check out UPTOWN RECORDS on Facebook HERE
